1. 振鈴波波形定義
依據IEC 61000-4-12:1995 的定義,單次衝擊的振盪瞬態波被稱為“振鈴波”,阻尼振盪瞬態的脈衝群被稱為“阻尼振盪波”。歷次標準更新中,提高了快速阻尼振盪波的振盪頻率和重複率,而振鈴波則開始參考雷擊波的測試方式,對於交/ 直流電源線CDN 和互連線CDN的系統以及校驗方法都可以參照IEC 61000-4-5:2014 的相關章節。
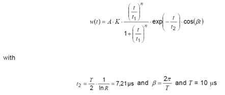
新標準中振鈴波波形定義不變,只額外給出了圖1振鈴波波形的數學公式,該公式可以用於振鈴波發生器的設計以及模擬。

2. 振鈴波校準要求的變化
振鈴波應當校驗的波形參數包括開路電壓峰值、上升時間、振盪週期和衰減比以及短路電流的峰值和上升時間。新標準僅對短路電流的上升時間做了新的規定,從舊標準的≤ 1 μs 變為0.2~1 μs,並且對輸出阻抗的選擇有了明確規定:
● 交/ 直流電源線以及遮蔽互連線,輸出阻抗的阻值應為12 Ω ;
● 非遮蔽互連線,輸出阻抗的阻值應為30 Ω。
可以看出,短路電流的參數實際上是從能量角度對於試驗嚴酷程度的一種衡量方式,這一點從舊版標準中輸出阻抗的選擇方式上也可以得到證明。
距離配電網路較近的設備應承受較嚴苛的試驗環境,因此輸出阻抗的阻值應為12 Ω,在6kV 試驗電壓下對應500 A 的電流峰值,而距離配電網路較遠的設備使用較低的測試等級,輸出阻抗為30 Ω,在6kV試驗電壓下對應200 A 的電流峰值。
新版標準對於短路電流上升時間限值的改動,是在舊版標準的限值基礎上增加了下限,明確區間範圍,一方面以現有的技術較難做到更快的上升斜率,另一方面市場的振鈴波產生器的短路電流上升時間也均落在此範圍內,所以在這一點上新版標準的變動對測試及測試設備沒有太大的影響。
在舊版標準中,輸出阻抗是12 Ω 和30 Ω 可選,而在新標準中對於電源線埠和遮蔽互連線,規定輸出阻抗必須是12 Ω,提高了試驗的嚴苛程度,因此部分滿
足舊標準的設備不一定能滿足新標準的要求。
與上述說明相對應,振鈴波產生器和交/ 直流電源CDN 的校準要求和舊標準相比發生了較大變化,同時在新標準中給出了非遮蔽互連線CDN 的校準參數。
下面對這些變化進行說明。
2.1 振鈴波產生器校準要求按照舊版標準中的要求,如果使用了CDN,則應在CDN的輸出端進行產生器特性驗證。新版標準中不同種類的CDN使用的輸出阻抗不同,新版標準要求在產生器輸出端對於不同的輸出阻抗進行特性驗證,其中開路電壓和短路電流的關係見表一。

表一、開路電壓和短路電流的關係
2.2 交/直流電源線的CDN校驗要求振鈴波和雷擊的干擾源相同,當額定電流大於63 A時,EUT 應該按照IEC 61000-4-5:2014的要求測試,因此對於振鈴波只需考慮額定電流小於63 A 的情況。
對於額定電流大於16 A 的CDN,為了防止產生非期望的電壓下降,通常需要降低解耦元件的值。同時考慮到電源線CDN的輸出阻抗應為12 Ω,不需要考慮30 Ω 輸出阻抗的情況,在這種情況下,短路電流峰值的限值要求見表二.

表二、短路峰值電流的限值
此外,新版標準還提出了非必要振鈴波電壓的要求,在既沒有連接EUT 也沒有連接供電電源時,非被測線和地之間測得的非期望的振鈴波電壓不應超過施加的試驗電壓(開路)最大值的15%。
2.3 互連線CDN 的校準要求
新版標準對舊版標準中引入的互連線CDN 做了更為詳細的說明,這部分內容與IEC 61000-4-5:2014 中的對應章節基本一致,同時還給出了CDN 的EUT 輸出波形校準方法以及參數要求,校驗應當在30 Ω 輸出阻抗下進行。其中,非遮蔽非對稱互連線CDN 的校驗方法見表三,參數要求見表四。

表三、非遮蔽非對稱互連線CDN 的校驗方法

表四、非遮蔽非對稱互連線CDN校驗參數要求
基於非遮蔽線路的特性,對稱互連線的耦合方式通常為共模耦合,因此對於非遮罩對稱線CDN的校驗,只需考慮共模耦合方式下的參數,其校驗方法見表五,參數要求見表六。
表五、對稱互連線CDN校驗參數要求
表六、對稱互連線CDN校驗參數要求
表三和表五校準方法中提到的埠佈置和耦合方法對電壓和電流波形有影響,因此在校準過程中需要嚴格按照要求連接。校準互連線CDN 時,通常建議使用最大的額定衝擊電壓,這樣能將CD產生的開關雜訊的影響降到最小。如果CDN 的額定衝擊電壓值是最大值,那麼應以該最大值校準,規定的短路峰值電流要求也應相應的變化。
3. 振鈴波試驗要求的變化版標準在架設配置方面有所變動。架設配置上增加了指定類型和長度的電纜要求,並且更改了參考接地面的應用場合,只有遮蔽線的測試需要使用參考接地面,舊版標準中其他關於參考接地面的要求在新標準中被刪除。
在較早版本的IEC 61000-4 系列標準中,普遍要求EUT以及輔助測試設備應放置在實驗室的參考接地面上。然而這一要求在某些情況下,特別是工頻磁場耐受度試驗中,會帶來一些問題。由於參考接地面材質的不同,可能會嚴重影響磁場的分佈,導致線圈中心位置的磁場強度與理論值差異變大,無法確保測試結果的有效性。